Automatic Control Knowledge Repository

You currently have javascript disabled. Some features will be unavailable. Please consider enabling javascript.

Details for: "full state observer"

Name: full state observer (Key: IWTAE)
Path: ackrep_data/problem_solutions/full_state_observer View on GitHub
Type: problem_solution
Short Description:
Created: 2020-12-30
Compatible Environment: default_conda_environment (Key: CDAMA)
Source Code [ / ] solution.py
#!/usr/bin/env python3
# -*- coding: utf-8 -*-
"""problem solution : using full state observer to estimate all states
of the loading-last system with initial error
"""
try:
    import method_observer_full_reduced as ofr  # noqa
    import method_system_property as msp  # noqa
    import observer_sim_function as osf  # noqa
except ImportError:
    from method_packages.method_observer_full_reduced import method_observer_full_reduced as ofr
    from method_packages.method_observer_full_reduced import observer_sim_function as osf
    from method_packages.method_system_property import method_system_property as msp

import symbtools as st
from scipy.integrate import odeint
import sympy as sp
import numpy as np
import matplotlib.pyplot as plt
import os
from ackrep_core.system_model_management import save_plot_in_dir


class SolutionData:
    pass


def rhs_for_simulation(f, g, xx, controller_func):
    """
    # calculate right hand side equation for simulation of the nonlinear system
    :param f: vector field
    :param g: input matrix
    :param xx: states of the system
    :param controller_func: input equation (trajectory)
    :return: rhs: equation that is solved
    """

    # call the class 'SimulationModel' to build the
    # 'right hand side'equation for ode
    # sim_mod = st.SimulationModel(f, g, xx)
    sim_mod = st.SimulationModel(f, g, xx)
    rhs_eq = sim_mod.create_simfunction(controller_function=controller_func)

    return rhs_eq


def solve(problem_spec):
    """solution of full state feedback
    :param problem_spec: ProblemSpecification object
    :return: solution_data: states and output values of the stabilized system
    """
    sys_f_body = msp.System_Property()  # instance of the class System_Property
    sys_f_body.sys_state = problem_spec.xx  # state of the system
    sys_f_body.tau = problem_spec.u  # inputs of the system
    # original nonlinear system functions
    sys_f_body.n_state_func = problem_spec.rhs()

    # original output functions
    sys_f_body.n_out_func = problem_spec.output_func()
    sys_f_body.eqlbr = problem_spec.eqrt  # equilibrium point

    # linearize nonlinear system around the chosen equilibrium point
    sys_f_body.sys_linerazition()
    tuple_system = (sys_f_body.aa, sys_f_body.bb, sys_f_body.cc, sys_f_body.dd)  # system tuple

    # call the state_feedback method to stabilize an unstable system
    observer_res = ofr.full_observer(tuple_system, problem_spec.poles_o, problem_spec.poles_cl, debug=False)

    # simulation original nonlinear system with controller
    f = sys_f_body.n_state_func.subs(st.zip0(sys_f_body.tau))  # x_dot = f(x) + g(x) * u
    g = sys_f_body.n_state_func.jacobian(sys_f_body.tau)

    # observer simulation function
    observer_sim = osf.Observer_SimModel(
        f,
        g,
        problem_spec.xx,
        tuple_system,
        problem_spec.eqrt,
        observer_res.observer_gain,
        observer_res.state_feedback,
        observer_res.pre_filter,
        problem_spec.yr,
    )
    rhs = observer_sim.calc_observer_rhs_func()
    res = odeint(rhs, problem_spec.xx0, problem_spec.tt)

    # add equilibrium points to the estimated states from observer
    res[:, len(problem_spec.xx) :] += np.array([problem_spec.eqrt[i][1] for i in range(len(problem_spec.xx))])

    # output function
    output_function = sp.lambdify(problem_spec.xx, sys_f_body.n_out_func, modules="numpy")
    yy = output_function(*res[:, 0:4].T)

    solution_data = SolutionData()
    solution_data.yy = yy  # output of the stabilized system
    solution_data.res = res  # states of the stabilized system
    solution_data.state_feedback = observer_res.state_feedback  # controller gains
    solution_data.observer_gain = observer_res.observer_gain  # observer gains
    solution_data.pre_filter = observer_res.pre_filter  # pre-filter

    save_plot(problem_spec, solution_data)

    return solution_data


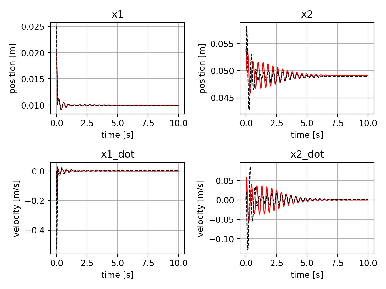
def save_plot(problem_spec, solution_data):
    # plotting of the system states
    titles1 = problem_spec.titles_state
    plt.figure(1)
    for i in range(len(titles1)):
        plt.subplot(problem_spec.row_number, int(len(titles1) / problem_spec.row_number), i + 1)
        plt.plot(problem_spec.tt, solution_data.res[:, i], color=problem_spec.graph_color, linewidth=1)
        plt.plot(problem_spec.tt, solution_data.res[:, i + 4], "k--", linewidth=1)
        plt.grid(1)
        plt.title(titles1[i])
        plt.xlabel(problem_spec.x_label)
        plt.ylabel(problem_spec.y_label_state[i])
    plt.tight_layout()

    # save image
    save_plot_in_dir()

Solved Problems: design of a full observer to estimate all states of the system   |   design of a full observer to estimate all states of the system   |  
Used Methods: system proporty method_trajectory_planning
Result: Success.
Last Build: Checkout CI Build
Runtime: 3.8 (estimated: 10s)
Plot:

The image of the latest CI job is not available. This is a fallback image.